Нетривиальные прогнозы .... скрещиваем простое и сложное .)

раздел со свободным доступом

Re: Нетривиальные прогнозы .... скрещиваем простое и сложное

Сообщение nepon » 23 май 2013, 13:19

EURUSD Отработали 100% вверху и 100% внизу. Теперь опять вверх. ;)
Вложения
23.05 Н4.png
Аватара пользователя
nepon
 
Сообщения: 427
Зарегистрирован: 11 янв 2011, 14:34

Re: Нетривиальные прогнозы .... скрещиваем простое и сложное

Сообщение Kisakot » 23 май 2013, 13:53

nepon, что-то новенькое в плане ТА?
Аватара пользователя
Kisakot
 
Сообщения: 28
Зарегистрирован: 21 июн 2011, 04:35

Re: Нетривиальные прогнозы .... скрещиваем простое и сложное

Сообщение nepon » 23 май 2013, 15:43

Kisakot писал(а):nepon, что-то новенькое в плане ТА?

:) Нет. Всё то же старьё! Тактика Адверза.
Только программа эту модель не отрисовала, вот и пришлось самому взять её "на учёт". :)
Она не очень приметная.... ;), но...
Вложения
EURUSD m60888.png
Аватара пользователя
nepon
 
Сообщения: 427
Зарегистрирован: 11 янв 2011, 14:34

Re: Нетривиальные прогнозы .... скрещиваем простое и сложное

Сообщение Kisakot » 23 май 2013, 16:47

nepon писал(а):Она не очень приметная.... ;), но...


хм, получается, модель в работе когда есть 1-2-3-4-5, и потом строим квадрат от лоу к хай. и соответственно квадрат вверх и вниз будет отработан?
Аватара пользователя
Kisakot
 
Сообщения: 28
Зарегистрирован: 21 июн 2011, 04:35

Re: Нетривиальные прогнозы .... скрещиваем простое и сложное

Сообщение nepon » 23 май 2013, 18:12

Kisakot писал(а):хм, получается, модель в работе когда есть 1-2-3-4-5, и потом строим квадрат от лоу к хай. и соответственно квадрат вверх и вниз будет отработан?

Ну не совсем так однозначно. Может и 3-4 квадрата вверх отработать. Тут по ситуации на смежных планах сверяться надо. На каждом уровне есть определённая вероятность разворота. Данная модель по времени уже как бы и сложила свои полномочия. Но уровни остались в памяти рынка. Они отработали в рамках новых моделей. В нашем случае, после полного формирования модели, выбираем наиболее вероятное направление движения и входим от т.5 с целью достижения 100% уровня.
Аватара пользователя
nepon
 
Сообщения: 427
Зарегистрирован: 11 янв 2011, 14:34

Re: Нетривиальные прогнозы .... скрещиваем простое и сложное

Сообщение nepon » 25 май 2013, 09:30

Недавно выкладывал картинку - download/file.php?id=17832&t=1
Дорисовал ещё немного... :)
Интересно происхождение красной линии проходящей через центр малой окружности... ;) (отображено на нижней картинке)
Вложения
EURUSD Day Circ.png
EURUSD Day 25.png
Аватара пользователя
nepon
 
Сообщения: 427
Зарегистрирован: 11 янв 2011, 14:34

Re: Нетривиальные прогнозы .... скрещиваем простое и сложное

Сообщение nepon » 28 май 2013, 17:14

EURJPY Коснулись трендовой линии недельного плана. Теперь наиболее вероятны два варианта развития.
- Отскок-возврат- достижение целевых уровней.
- пробой без отскока- отработка целевых уровней
Вложения
EURJPY Week.png
Аватара пользователя
nepon
 
Сообщения: 427
Зарегистрирован: 11 янв 2011, 14:34

Re: Нетривиальные прогнозы .... скрещиваем простое и сложное

Сообщение nepon » 02 июн 2013, 16:38

Модель Бредли для внутри дня... (Время разворотов)
Вложения
02.06 2.png
02.06 3.png
Аватара пользователя
nepon
 
Сообщения: 427
Зарегистрирован: 11 янв 2011, 14:34

Re: Нетривиальные прогнозы .... скрещиваем простое и сложное

Сообщение MisterProfit » 02 июн 2013, 16:53

nepon писал(а):Модель Бредли для внутри дня... (Время разворотов)

Класс!! .) Интересно, что получится...
Заходите в Клуб сторонников ФНВА в Telegram https://t.me/+cI_ZmIUvcOI1MzFi
и в МАХ https://max.ru/join/wT0KOQUIhdFGjNSkyac ... ZYKUb99Kaw
Подключайтесь к каналу ФНВА в Telegram https://t.me/mister_profit
Пишите мне в Telegram @YuriMerzlov
Аватара пользователя
MisterProfit
Администратор
 
Сообщения: 2238
Зарегистрирован: 04 янв 2011, 14:51

Re: Нетривиальные прогнозы .... скрещиваем простое и сложное

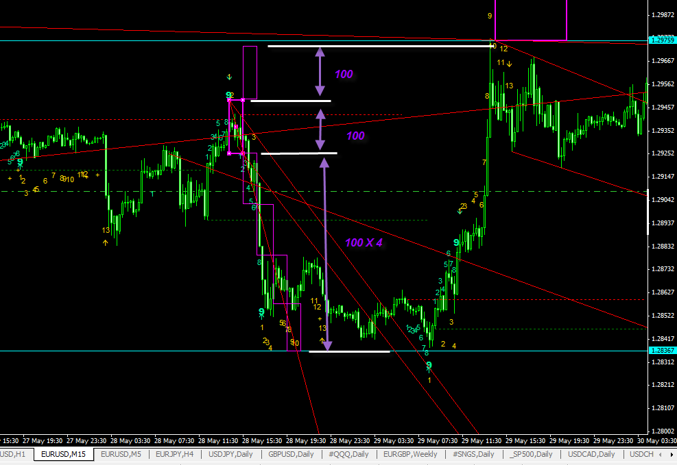
Сообщение nepon » 02 июн 2013, 17:21

Kisakot писал(а):хм, получается, модель в работе когда есть 1-2-3-4-5, и потом строим квадрат от лоу к хай. и соответственно квадрат вверх и вниз будет отработан?

Дополнение...
Ещё один вариант отработки модели. Отработала 400% размера модели. (модель на м1, скрин сделан на м15)
Вложения
02.06 66.png
Аватара пользователя
nepon
 
Сообщения: 427
Зарегистрирован: 11 янв 2011, 14:34

Пред.След.

Вернуться в Фрактальный Нелинейный Волновой Анализ (ФНВА) Мерзлова

Кто сейчас на конференции

Сейчас этот форум просматривают: нет зарегистрированных пользователей и гости: 2

  • Полезные ресурсы
cron